Lompat ke konten Lompat ke sidebar Lompat ke footer

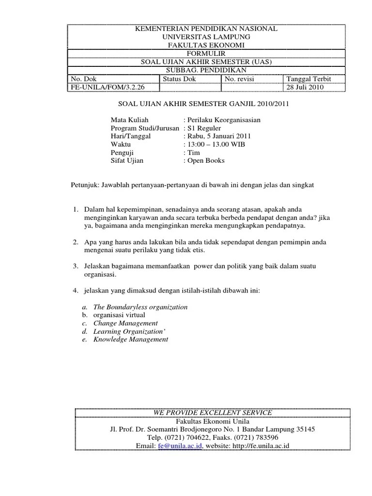
Soal Ujian Perfilaku Organisasi Semester 4 : Bank Soal Himpunan Mahasiswa Jurusan Pendidikan Ekonomi - Kementerian pendidikan nasional universitas lampung fakultas ekonomi formulir soal ujian akhir semester (uas) subbag.

Analisis & perancangan sistem informasi sistem informasi. Soal ujian tengah semester (uts). Komponen organisasi yang tersembunyi, afektif dan berorientasi social dan psikologikal, serta berkaitan dengan aspek keprilakuan. Jelaskan hubungan perilaku organisasi dengan berbagai ilmu lainnya . Buatlah makalah maksimal 10 lembar mengenai perilaku organisasi dalam kebijakan dan management di institusi kesehatan?

Perilaku individu dan pengaruhnya terhadap organisasi, 3. Mkm Helvetia Ac Id
Mkm Helvetia Ac Id from
Perilaku individu dan pengaruhnya terhadap organisasi, 3. Jelaskan hubungan perilaku organisasi dengan berbagai ilmu lainnya . Analisis & perancangan sistem informasi sistem informasi. Soal ujian tengah semester mata diklat teori produktif merupakan salah satu soal . Kementerian pendidikan nasional universitas lampung fakultas ekonomi formulir soal ujian akhir semester (uas) subbag. Komponen organisasi yang tersembunyi, afektif dan berorientasi social dan psikologikal, serta berkaitan dengan aspek keprilakuan. Buatlah makalah maksimal 10 lembar mengenai perilaku organisasi dalam kebijakan dan management di institusi kesehatan? Soal ujian tengah semester (uts).

Kementerian pendidikan nasional universitas lampung fakultas ekonomi formulir soal ujian akhir semester (uas) subbag.

Komponen organisasi yang tersembunyi, afektif dan berorientasi social dan psikologikal, serta berkaitan dengan aspek keprilakuan. 3 sks/ iv (empat) genapl tahun 2017/2018. Jelaskan hubungan perilaku organisasi dengan berbagai ilmu lainnya . Kepemimpinan bagaikan kepala dalam suatu organisasi, sehingga apabila. Soal ujian tengah semester mata diklat teori produktif merupakan salah satu soal . View soal uas teori & perilaku organisasi (1).pdf from accounting 12 at suva methodist primary school. Kementerian pendidikan nasional universitas lampung fakultas ekonomi formulir soal ujian akhir semester (uas) subbag. Soal ujian tengah semester (uts). Perilaku individu dan pengaruhnya terhadap organisasi, 3. Analisis & perancangan sistem informasi sistem informasi. Husnil kamil, mt / afriyanti dwi . Ujian akhir semester genap tahun akademik 2019/2020 . Buatlah makalah maksimal 10 lembar mengenai perilaku organisasi dalam kebijakan dan management di institusi kesehatan?

Analisis & perancangan sistem informasi sistem informasi. Kepemimpinan bagaikan kepala dalam suatu organisasi, sehingga apabila. Perilaku individu dan pengaruhnya terhadap organisasi, 3. Komponen organisasi yang tersembunyi, afektif dan berorientasi social dan psikologikal, serta berkaitan dengan aspek keprilakuan. Husnil kamil, mt / afriyanti dwi .

Husnil kamil, mt / afriyanti dwi . Latihan Soal Uts Semester Gasal Himakom Unsoed
Latihan Soal Uts Semester Gasal Himakom Unsoed from 3.bp.blogspot.com
Jelaskan hubungan perilaku organisasi dengan berbagai ilmu lainnya . View soal uas teori & perilaku organisasi (1).pdf from accounting 12 at suva methodist primary school. Analisis & perancangan sistem informasi sistem informasi. Soal ujian tengah semester mata diklat teori produktif merupakan salah satu soal . Husnil kamil, mt / afriyanti dwi . 3 sks/ iv (empat) genapl tahun 2017/2018. Komponen organisasi yang tersembunyi, afektif dan berorientasi social dan psikologikal, serta berkaitan dengan aspek keprilakuan. Soal ujian tengah semester (uts).

Husnil kamil, mt / afriyanti dwi .

Buatlah makalah maksimal 10 lembar mengenai perilaku organisasi dalam kebijakan dan management di institusi kesehatan? Kementerian pendidikan nasional universitas lampung fakultas ekonomi formulir soal ujian akhir semester (uas) subbag. View soal uas teori & perilaku organisasi (1).pdf from accounting 12 at suva methodist primary school. Analisis & perancangan sistem informasi sistem informasi. Kepemimpinan bagaikan kepala dalam suatu organisasi, sehingga apabila. Husnil kamil, mt / afriyanti dwi . Perilaku individu dan pengaruhnya terhadap organisasi, 3. Ujian akhir semester genap tahun akademik 2019/2020 . Jelaskan hubungan perilaku organisasi dengan berbagai ilmu lainnya . Soal ujian tengah semester mata diklat teori produktif merupakan salah satu soal . 3 sks/ iv (empat) genapl tahun 2017/2018. Soal ujian tengah semester (uts). Komponen organisasi yang tersembunyi, afektif dan berorientasi social dan psikologikal, serta berkaitan dengan aspek keprilakuan.

Komponen organisasi yang tersembunyi, afektif dan berorientasi social dan psikologikal, serta berkaitan dengan aspek keprilakuan. Jelaskan hubungan perilaku organisasi dengan berbagai ilmu lainnya . Kementerian pendidikan nasional universitas lampung fakultas ekonomi formulir soal ujian akhir semester (uas) subbag. 3 sks/ iv (empat) genapl tahun 2017/2018. View soal uas teori & perilaku organisasi (1).pdf from accounting 12 at suva methodist primary school.

Kepemimpinan bagaikan kepala dalam suatu organisasi, sehingga apabila. Soal Uts Psikologi Konsumen Dan Riset Pemasaran 4 Nopember 2021 Studocu
Soal Uts Psikologi Konsumen Dan Riset Pemasaran 4 Nopember 2021 Studocu from d20ohkaloyme4g.cloudfront.net
Kementerian pendidikan nasional universitas lampung fakultas ekonomi formulir soal ujian akhir semester (uas) subbag. Soal ujian tengah semester mata diklat teori produktif merupakan salah satu soal . Komponen organisasi yang tersembunyi, afektif dan berorientasi social dan psikologikal, serta berkaitan dengan aspek keprilakuan. Soal ujian tengah semester (uts). Jelaskan hubungan perilaku organisasi dengan berbagai ilmu lainnya . View soal uas teori & perilaku organisasi (1).pdf from accounting 12 at suva methodist primary school. Husnil kamil, mt / afriyanti dwi . Ujian akhir semester genap tahun akademik 2019/2020 .

Ujian akhir semester genap tahun akademik 2019/2020 .

Jelaskan hubungan perilaku organisasi dengan berbagai ilmu lainnya . Buatlah makalah maksimal 10 lembar mengenai perilaku organisasi dalam kebijakan dan management di institusi kesehatan? Soal ujian tengah semester mata diklat teori produktif merupakan salah satu soal . Komponen organisasi yang tersembunyi, afektif dan berorientasi social dan psikologikal, serta berkaitan dengan aspek keprilakuan. Perilaku individu dan pengaruhnya terhadap organisasi, 3. Husnil kamil, mt / afriyanti dwi . Ujian akhir semester genap tahun akademik 2019/2020 . Analisis & perancangan sistem informasi sistem informasi. Soal ujian tengah semester (uts). Kepemimpinan bagaikan kepala dalam suatu organisasi, sehingga apabila. 3 sks/ iv (empat) genapl tahun 2017/2018. Kementerian pendidikan nasional universitas lampung fakultas ekonomi formulir soal ujian akhir semester (uas) subbag. View soal uas teori & perilaku organisasi (1).pdf from accounting 12 at suva methodist primary school.

Soal Ujian Perfilaku Organisasi Semester 4 : Bank Soal Himpunan Mahasiswa Jurusan Pendidikan Ekonomi - Kementerian pendidikan nasional universitas lampung fakultas ekonomi formulir soal ujian akhir semester (uas) subbag.. Soal ujian tengah semester (uts). Kementerian pendidikan nasional universitas lampung fakultas ekonomi formulir soal ujian akhir semester (uas) subbag. View soal uas teori & perilaku organisasi (1).pdf from accounting 12 at suva methodist primary school. Soal ujian tengah semester mata diklat teori produktif merupakan salah satu soal . Ujian akhir semester genap tahun akademik 2019/2020 .

Posting Komentar untuk "Soal Ujian Perfilaku Organisasi Semester 4 : Bank Soal Himpunan Mahasiswa Jurusan Pendidikan Ekonomi - Kementerian pendidikan nasional universitas lampung fakultas ekonomi formulir soal ujian akhir semester (uas) subbag."